- 產品概述
- 應用領域
ZAQJ長軸深井泵、深井長軸泵長軸泵,屬于離心泵的一種,在離心泵的角度來看,就是在液下泵的性能上改進而來,使其性能大大高于液下泵,運行時的平穩性更強。尤孚結合市場的需求,研發設計了ZAQJ長軸深井泵、深井長軸泵系列長軸深井泵,廣泛用于自來水公司、污水處理廠、電廠、鋼鐵廠、礦山等工礦企業,以及市政給排水、防洪排澇等工程。關于其具體的技術參數及性能優點,尤孚泵業小編為你介紹。
ZAQJ長軸深井泵、深井長軸泵系列長軸深井泵在液壓設計方面進行了改進,并采用了專門為消防設備等各種行業開發的型號,產品應用廣泛。高效,可靠以及堅固是這系列的主要優勢,ZAQJ長軸深井泵、深井長軸泵系列的產品有電機,通過齒輪箱與內燃機鏈接,多種型號各種材質的泵,滿足客戶的需求。
二、ZAQJ長軸深井泵、深井長軸泵特點
三、ZAQJ長軸深井泵、深井長軸泵結構說明
QJ型潛水深井泵常見故障及排除方法
|
QJ深井泵故障
|
QJ型潛水深井泵原因
|
QJ型潛水深井泵排除方法
|
|
不上水或者水量不足
|
1.動水位低于泵吸入口。
2.輸水管漏水嚴重或水管脫開。
3.轉子和軸松動。
4.部分葉輪松動。
5.電機反轉。
6.管路堵塞。
|
1.增加輸水管。
2.更換輸水管。
3.更換轉子。
4.重新裝配葉輪。
5.調換電源接頭。
6.清除堵塞。
|
|
水泵流量降
|
1.密封環嚴重磨損。
2.濾水網、導流殼、葉輪流道被堵塞。
3.電壓、頻率較低。
4.動水位下降超過水泵額定揚程。
|
1.更換密封環。
2.清除堵物。
3.停機待電壓、頻率達到規定值后再啟動。
4.更換高揚程泵。
|
|
機組劇烈震動或電流過大表指針擺動
|
1.泵軸或電機軸彎曲。
2.深井泵泵軸、電機軸和軸承磨損嚴重。
3.止推軸承磨損或損壞。
4.推力盤緊固螺母損壞。
5.推力盤破裂。
6.電機轉子掃膛。
7.葉輪、轉子不平衡或轉子斷條。
8.聯接螺栓松動。
9.水泵低揚程大流量電機超載。
10.井水涌水量不夠,問歇出水。
|
1.修理或更換泵軸或電機軸。
2.更換軸承。
3.更換止推軸承。
4.修好軸頭,更換螺母。
5.更換推力盤。
6.找出原因進行修理。
7.重作動平衡或更換轉子。
8.上緊螺栓。
9.加閘閥控制流量在工況點運行。
10.加閘閥控制出水量。
|
|
電機不能啟動嗡嗡做響
|
1.斷相。
2.電壓過低。
3.軸承抱軸。
4.葉輪密封環之間銹死等。
5.泵內有異物卡死葉輪不能轉動。
|
1.檢修線路或啟動設備。
2.調整電壓。
3.修理軸及軸承。
4.撬動水泵旋轉或拆下泵重裝。
5.取出異物。
|
|
絕緣電阻過低繞組燒毀
|
1.接頭進水。
2.繞組破壞。
3.電纜破裂。
4.電機內缺水。
5.缺相運轉。
6.長時間超載運轉。
7.電機埋入泥沙中。
|
1.修接頭。
2.包扎或更換繞組。
3.包扎電纜。
4.電機內保證灌滿清水。
5.檢查線路與設備。
6.降低負荷使電機電流不超過銘牌規定值。
7.按安裝要求安裝電機。
|
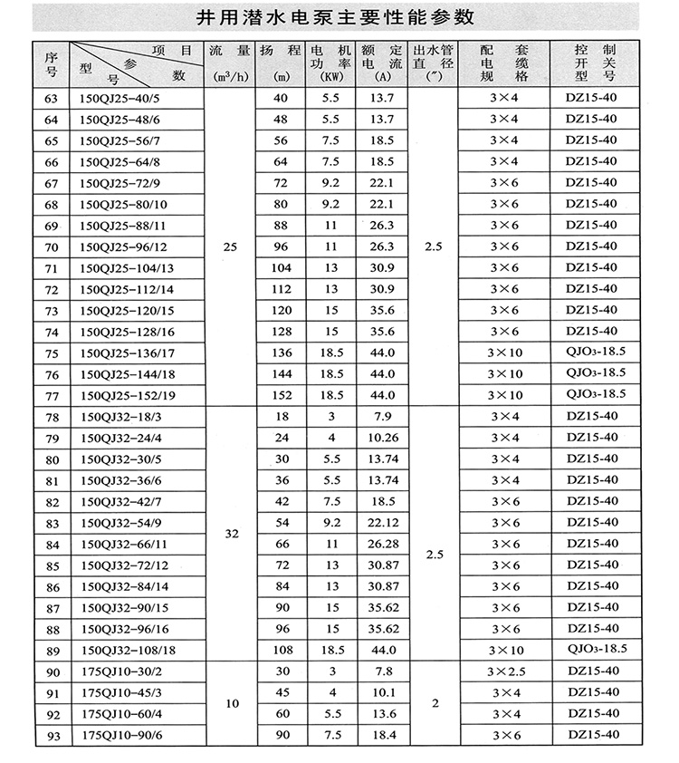
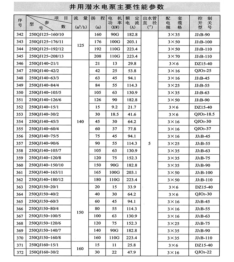
ZAQJ長軸深井泵、深井長軸泵性能參數




































